hamburger-icon
logo
mobile-hourSon Dakika
  • Son Dakika
  • Türkiye
  • Video
    • Yayın Akışı
    • Programlar
    • Ekran Yüzleri
    • Canlı Yayın
    • Frekanslar
  • Finans
  • Dünya
    • Türkiye
    • Ekonomi
    • Magazin
    • Spor
    • Teknoloji
    • Otomobil
  • Ekonomi
  • Spor
  • Magazin
  • kesfet
  • Resmi İlanlar
    • Yayın Akışı
    • Programlar
    • Ekran Yüzleri
    • Canlı Yayın
    • Frekanslar
desktop-gifmobile-gifCanlı YayınGiriş

HABERLER

  • Canlı Yayın
  • Son Dakika
  • Son Dakika Depremler
  • Türkiye
  • Dünya
  • Finans
  • Spor
  • Ekonomi
  • kesfet
  • Sağlık
  • Magazin
  • Seyahat
  • Yaşam
  • Otomobil
  • Teknoloji
  • Eğitim
  • Kültür Sanat
  • Yerel Haberler

KATEGORİLER

  • Yazarlar
  • Hava Durumu
  • Video
  • Foto Haber
  • Döviz
  • Altın
  • Koronavirüs
  • Astroloji
  • CNN Life

TV PROGRAMLARI

  • A'dan Z'ye
  • Güne Merhaba
  • Gundem
  • Bugün
  • Günlük
  • Ana Haber
  • Programlar
  • Canlı Yayınwatch
  • Yayın Akışı
  • Ekran Yüzleri
  • Frekanslar

TAKİP EDİN

  • next
  • youtube
  • facebook
  • x
  • instagram
  • tiktok

UYGULAMAYI İNDİRİN

  • google-play
  • app-store
  • app-gallery
hourSON DAKİKA
left-arrowright-arrow
weather
İstanbul
down-arrowup-arrow
    • Anasayfa
    • Türkiye Haberleri

    MSB PERSONEL TEMİN SONUÇLARI: MSB memur alımı sonuçları nereden sorgulanır, sınav ücreti ne kadar, mülakatlar ne zaman yapılacak?

    10.02.2026 - 13:22Güncellenme Tarihi10.02.2026 - 13:23
    • nextnext
    • facebookfacebook
    • xx
    • whatsappwhatsapp
    • down-arrowcopy
      • copyLinki Kopyala
      • plusYazıyı Büyüt
      • minusYazıyı Küçült
    google-newsgoogle-news
    flipboardflipboard
    Kaynak:Cnnturk.com

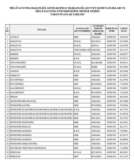
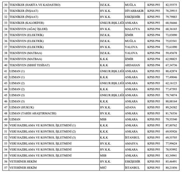
    Milli Savunma Bakanlığı, 109 kişilik memur alımı için yürütülen süreçte ön değerlendirme aşamasını tamamladı ve sonuçları kamuoyuyla paylaştı. KPSS puan sıralamasına göre yapılan değerlendirme sonucunda belirlenen adaylar, mülakat aşamasına katılmaya hak kazandı. MSB tarafından yapılan açıklamada; Genelkurmay Başkanlığı, Kuvvet Komutanlıkları ile Milli Savunma Üniversitesi kadrolarında görevlendirilmek üzere gerçekleştirilecek alıma ilişkin ön değerlendirme sonuçlarının Personel Temin Sistemi üzerinden erişime açıldığı belirtildi. Adaylar, sisteme giriş yaparak sonuçlarını görüntüleyebiliyor. Peki, MSB memur alımı sonuçları nereden sorgulanır, sınav ücreti ne kadar, mülakatlar ne zaman yapılacak? İşte detaylar.

    Haberin Devamı
    Haberin Devamı
    /
    MSB PERSONEL TEMİN SONUÇLARI: MSB memur alımı sonuçları nereden sorgulanır, sınav ücreti ne kadar, mülakatlar ne zaman yapılacak
    • nextNext Paylaş
    • facebookFacebook'da Paylaş
    • xTwitter'da Paylaş
    • whatsappWhatsapp'da Paylaş
    zoom

    MSB personel temin sonuçları ve mülakat tarihleriyle ilgili detaylar başvuran adayların gündeminde yer alıyor. Millî Savunma Bakanlığı, 2025 yılı memur alımı süreci kapsamında Genelkurmay Başkanlığı, Kuvvet Komutanlıkları ve Millî Savunma Üniversitesi kadroları için yapılan ön başvuruların değerlendirme sonuçlarını açıkladı. Yapılan inceleme sonucunda başvuruları uygun bulunan adaylar, mülakat aşamasına katılabilmek için ilan edilen takvim doğrultusunda sınav ücretlerini belirtilen süre içinde yatırmak zorunda olacak. Adaylar, başvuru sonuçlarını e-Devlet şifreleriyle giriş yaptıktan sonra tercihlerim menüsü altından öğrenebilirler.

     

    MSB ÖN BAŞVURU SONUÇLARI SAYFASI İÇİN TIKLAYINIZ

    MSB PERSONLE ALIMI SINAV ÜCRETİ NE KADAR?
    /
    MSB PERSONEL TEMİN SONUÇLARI: MSB memur alımı sonuçları nereden sorgulanır, sınav ücreti ne kadar, mülakatlar ne zaman yapılacak
    • nextNext Paylaş
    • facebookFacebook'da Paylaş
    • xTwitter'da Paylaş
    • whatsappWhatsapp'da Paylaş
    zoom

    Çağrı kontenjanına giren adayların sınav ücretlerini 10-16 Şubat 2026 tarihleri arasında (en geç saat 23:30'a kadar) yatırmaları gerekmektedir. Sınav ücreti 300 (üç yüz) TL olarak belirlenmiştir. Ödemeler, T.C. Vakıflar Bankasının internet/mobil bankacılık uygulaması veya ATM cihazları üzerinden, Ödemeler/Eğitim ve Sınav Ödemeleri/Sınav Ödemeleri/Milli Savunma Bakanlığı Personel Sınav Ödemeleri ekranından, başvuru sahibinin (adayın) T.C. Kimlik Numarası girilerek yapılacaktır.

     

    Şehit/gazi eş ve çocukları için özel bir düzenleme yapıldı. Millî Savunma Bakanlığına İlk Defa Devlet Memuru Olarak Atanacaklar İçin Yapılacak Sınavlar Hakkında Yönetmelik'in 6'ncı maddesinin 2. fıkrasında belirtilen şehit/gazi eş ve çocukları, başvuru esnasında ilgili kanun numarasını belirtir onaylı belgeyi sisteme yüklemeleri halinde sınav ücreti yatırmayacaklardır. Ancak, sehven yapılan sınav ücreti ödemeleri iade edilmeyecek veya devredilmeyecektir.

     

     

    Haberin Devamı
    Haberin Devamı
    /
    MSB PERSONEL TEMİN SONUÇLARI: MSB memur alımı sonuçları nereden sorgulanır, sınav ücreti ne kadar, mülakatlar ne zaman yapılacak
    • nextNext Paylaş
    • facebookFacebook'da Paylaş
    • xTwitter'da Paylaş
    • whatsappWhatsapp'da Paylaş
    zoom

    Sınav ücretini yatırmayan (şehit/gazi eş ve çocukları hariç) adayların başvuruları geçersiz sayılacaktır. Ayrıca, başvuru şartlarını sağlamayan, sınava girmeyen, sınava giremeyen, sınavdan çıkarılan, sınavı geçersiz sayılan, sınav aşamalarının herhangi birinde başarısız olan, sağlık raporu ve güvenlik soruşturması/arşiv araştırması aşamalarının herhangi biri olumsuz sonuçlanan adayların sınav ücretleri de iade edilmeyecektir. Sınav ücretlerinin doğru yatırılmasının sorumluluğu tamamen adaya aittir.

     

    MSB MÜLAKAT TARİHLERİ NE ZAMAN?

     

    Sınav ücretini yatıran adaylar için mülakat sınavı tarihleri ayrıca duyurulacaktır.

     

    • MSB memur alımı
    • Personel Temin Sistemi
    • Milli Savunma Bakanlığı

    HABERLER

    • Canlı Yayın
    • Son Dakika
    • Son Depremler
    • CNN Türk Finans
    • Türkiye
    • Dünya
    • Spor
    • Ekonomi
    • Keşfet
    • Sağlık
    • Magazin
    • Seyahat
    • Yaşam
    • Otomobil
    • Teknoloji
    • Eğitim
    • Kültür Sanat
    • Yerel Haberler

    KATEGORİLER

    • Yazarlar
    • Hava Durumu
    • Video
    • Foto Haber
    • Döviz
    • Altın
    • Astroloji
    • Namaz Vakitleri
    • Ramazan
    • Yemek Tarifleri
    • Rüya Tabirleri
    • Sosyal Medya
    • Oyun
    • Ajanda

    TV PROGRAMLARI

    • A'dan Z'ye
    • Gün Ortası
    • Gündem
    • Bugün
    • Günlük
    • Ana Haber
    • Programlar
    • Canlı Yayın
    • Yayın Akışı
    • Ekran Yüzleri
    • Frekanslar

    Whatsapp İhbar hattı

    0530 918 69 18

    Google PlayApp StoreHuawei
    • Yasal Uyarı
    • Kullanım ve Gizlilik
    • Künye
    • İnsan Kaynakları
    • Kişisel Verilerin Korunması
    • İzleyici Temsilcisi
    • Bize Ulaşın
    • CNN Us
    • CNN Int
    • İspanyolca
    • Arapça
    • Japonca

    Takip Edin

    • Kanal D
    • tv2
    • DREAM TV
    • D-Smart
    • CNN TÜRK Radyo
    • Radyo D
    ilk bilen siz olun

    Demirören Tv Holding A.Ş. - CNN ™ CNN Inc. A WarnerMedia Company. All Rights Reserved.